The FDA's War Against Sleep
Why There Isn't a Cure for Insomnia
Story at a Glance:
•Proper sleep is one of the most important things for our health, and when it is disrupted, many severe issues consistently emerge (e.g., heart attacks, psychiatric illnesses, car accidents, fatigue, diabetes, cognitive impairment, or dementia).
•Unfortunately, poor sleep is an epidemic throughout our society. This is in part due to the importance of sleep not being understood (e.g., sleep is essential for learning yet educational programs like medical training sleep deprive students) and in part due to the fact the existing sleeping pills are sedatives which block the brain’s ability to have healthy sleep.
•In 1964, a sleeping medication hit the market that was remarkably effective for a variety of conditions (including insomnia) and hence profoundly improved the health of its recipients. Because it threatened so many different drug markets, once it reached America in 1990, the FDA in collusion with the media launched a ten-year take down of it, which in many regards was almost identical to what they did to ivermectin. It was successful, and very few people are even aware that this drug exists or that the many of sleeping disorders we face are easily treatable.
•In this article, we will review the data that illustrates the harms of poor sleep, the common causes of poor sleep, and the most effective treatments we have found for sleeping disorders that are still available to the public.
Note: because this article is such an important topic, I spent the last month working on it. It is hence on the longer end and I hope that you can find the time to read all of it.
One of the key themes I’ve tried to illustrate throughout this publication is that chronic illness has vastly increased over the last 150 years. Furthermore, again and again, doctors of each generation who observed each successive wave of that increase noticed that the treatments they learned at the start of their careers were much less effective for treating the patients they saw at the conclusion of their careers.
In a recent article, I discussed this collective loss of vitality in more detail, and listed what I believed were the primary culprits (which has been quite a challenge as there are now so many unhealthy things in our environment). In addition to listing the key culprits many are familiar with (e.g., the vaccination program has had a horrific impact on our health), I proposed another primary cause of chronic illness was modern life being highly disruptive to the natural rhythms the body depends upon for self-regulation and self-repair.
I believe this concept is relatively under appreciated within Modern Medicine (Allopathy) because, unlike almost any other medical system in history, our scientific approach to understanding the body does not recognize the concept of an innate “health” of the body, and as such, most Allopathic treatments are based around doing what they can to stabilize (e.g., in the ICU) or alter the body (e.g., through a surgery) and then hoping the body eventually works things out from there. In contrast, most other medical systems focus on what can be done to augment this innate capacity for recovery (health) and trust that through doing so, the present issue will resolve itself.
Note: typically the Allopathic approach (forcing the body to assume the state deemed necessary for the patient) is ideal to utilize for acute conditions, whereas the health-augmenting approach is what gets the best results for chronic conditions (something Allopathic medicine is well-known for struggling with).
At this point, I believe there are three reasons why we utilize the Allopathic model rather than the health-focused model:
•The Allopathic model lends itself to creating a large number of expensive treatments and diagnostic services for each person. Because this is so lucrative, it inevitably incentivizes its proponents to monopolize the entire medical market and healthcare practitioners to prioritize creating and utilizing its therapies.
•One of the fundamental psychological neuroses that exists in our culture is the need to control things and believe one knows exactly what’s happening. Because of this, our culture tends to default towards adopting methods and models that dominate nature rather than working in harmony with it and refusing to accept the inherent uncertainty that trusting in the path nature takes entails. Trusting in the health of the body to cure illness hence is opposed to the cultural philosophy Allopathy emerged from.
•Knowing if a therapy actually “works” is quite challenging, especially if the change can only be observed over a long time. Because of this, most medical research is based on whether an overt change can be consistently observed within a patient (e.g., lowering their blood pressure) and hoping that change will yield a long-term benefit rather than evaluating the long-term prognosis of people who receive a medical intervention. Because of this, medical research is strongly biased towards evaluating treatments that create an overt change (e.g., pharmaceutical drugs) rather than ones that augment the body’s health and lead toward a gradual recovery.
Self Regulating Cycles
The “health” of the body is highly dependent on the normal functioning of a variety of repeating cycles that occur within it.
For example:
•Practicing slow, smooth, and expansive nasal breathing has a profound impact on one's health and longevity because breathing regulates many different critical physiologic functions.
• Normal exposure to sunlight serves a variety of critical functions for health, and once it is lost, one’s risk of dying doubles, and a variety of other conditions, such as depression set in (discussed further here).
•People need regular physical activity, whereas once they become sedentary, a variety of significant health issues arise. In turn, we have all noticed individuals who make a point to walk daily have dramatically improved longevity.
•The mind is designed to alternate between periods of rest and activity. Yet, in our modern era, we have to think constantly, which often occurs in conjunction with significant stressors.
•Humans are meant to alternate between periods of eating and not eating (fasting) rather than continually eating.
In short, many of the natural rhythms our bodies rely upon for self-regulation are heavily disrupted in modern society, which in turn results in a variety of consistent derangements to normal physiology that are now seen throughout the population.
The Importance of Sleep
Throughout my career, I’ve met countless integrative practitioners who believed that one of the most important things to do when treating a chronic illness is to normalize their patient’s sleep, as this cyclical process is one of the foundational methods the body uses to restore its health. Unfortunately, patients with chronic illnesses tend to have highly disrupted sleep cycles which are often very challenging to correct (e.g., insomnia is fairly common following a COVID-19 vaccine injury).
The important thing to understand about sleep is that it is a tightly regulated cycle which is both highly responsive to signals from the environment and also responsible for maintaining many of the other critical rhythms within the body.
During sleep, the body cycles through different phases of sleep, each of which performs a critical function (e.g., deep NREM sleep heals the brain and allows toxins to drain out of it through the glymphatics, while REM sleep consolidates memories and allows one to process the emotions of their experiences). A typical sleep cycle goes as follows:
Note: since REM sleep predominates later at night, not sleeping long enough disproportionately disrupts REM sleep.
Matthew Walker is one of the world’s most vocal sleep researchers. In his book Why We Sleep, he argues that some of the most important functions of sleep include:
Maintaining circulatory health and preventing heart attacks.
Ensuring proper metabolic health (e.g., sleep deprivation causes hunger, diabetes, and weight gain).
Ensuring proper immune function (e.g., you are more likely to get the flu if you are sleep deprived).
Preventing cancer.
Preventing fatigue and brain fog (which are typically the most overt symptoms we notice from sleep deprivation).
Remaining awake and alert.
Healing and restoring the brain (e.g., Alzheimer’s disease is strongly linked to poor sleep).
Regulating hormonal function and maintaining fertility (e.g., sleep deprivation lowers testosterone levels).
Processing emotional trauma (e.g., sleep is typically disrupted in PTSD, and PTSD often significantly improves once a drug is given which prevents PTSD from disrupting sleep).
Integrating one’s sense of reality and accurately interpreting emotional signals from one’s environment.
Sleep allows the rational mind (the prefrontal cortex) to control counterproductive impulses (e.g., emotional outbursts, or binge eating).
Maintaining one’s mental health (e.g., it’s well known that a variety of psychiatric conditions, such as bipolar episodes are triggered by periods of sleep deprivation).
Maintaining one’s sense of reality (e.g., prolonged sleep deprivation can trigger psychosis, and sleep is known to be disturbed in schizophrenic patients).
Facilitating creativity (e.g., many paradigm-shifting discoveries came from dreams, Thomas Edison was well-known for using dreams to concoct his inventions, and when people are woken up from REM sleep, they often demonstrate a radically improved abstract problem solving capacity).
Reducing one’s sensitivity to pain (whereas sleep deprivation increases it).
Facilitating the long-term retention of memories.
I generally agree with this list (and will cite more studies supporting it later in the article). Likewise, I am sure many of know firsthand how bad you feel when you are sleep deprived. Here are some of my personal experiences with sleep:
•I am fairly sensitive to the baselines within my body and I immediately notice that things within me go awry if I’ve had insufficient sleep (which I then have to exert quite a bit of effort to compensate for). For example, I notice impairments in a variety of neurologic functions (e.g., I become significantly less able to tolerate the cold, my coordination worsens, and it’s much harder for me to maintain my focus in either an intellectual or social task).
Note: the one neurological system that never becomes impaired for me during periods of sleep deprivation is the subconscious mind, so I often find myself relying upon it when I find myself in those circumstances. Likewise, I try to schedule the tasks I need to get to that the subconsciousness excels at dealing with during these periods.
•During periods of significant sleep deprivation, I will notice I have fleeting pain within the heart muscle and periodic arrhythmias. This is corroborated by a study that found one night of modest sleep reduction (as little as one or two hours) quickly increased one’s heart rate and blood pressure.
•During periods of insufficient sleep, I experience general mental fogginess that persists until I get a good night's sleep (and sometimes two).
•I have repeatedly observed that one’s recovery from a traumatic brain injury is highly dependent upon whether they get significant sleep after the incident, something I in part attribute to improved venous and lymphatic drainage (e.g., most glymphatic drainage occurs during NREM sleep and when you are lying down, there is much greater venous drainage than while standing). Likewise, research shows that a significant part of the gradual recovery from strokes occurs while sleeping.
•Before high school, I accidentally figured out how to use sleep to facilitate the long-term retention of information. This “lifehack” allowed me to memorize large volumes of information in very little time, and was the main reason I was able to get through the academic system while simultaneously teaching myself a separate curriculum (e.g., I spent more time studying things I was not assigned to learn during medical school than the material I was expected to learn). I mention this because the rules I discovered through experimenting with my “lifehack” matched what Walker’s own data demonstrated (although some of them also went beyond the scope of what Walker looked at).
Note: NREM sleep is responsible for eliminating unnecessary memories, whereas REM sleep processes the day's experiences and reinforces them into long-term memory.
•I tend to gain weight during periods of poor sleep.
Finally, Walker cites many examples of severe consequences occurring after prolonged periods of significant sleep deprivation (e.g., death or psychosis). I have also seen similar things occur. For instance, periodically I will have a patient who comes to me after engaging in an unsafe spiritual practice which involved staying awake for multiple days, after which they developed a permanent psychiatric or spiritual disorder (discussed further here). For this reason, I strongly advocate against these practices (but do support ones done while actually asleep such as dream meditation).
Quantifying the Importance of Sleep
Any individual, no matter what age, will exhibit physical ailments, mental health instability, reduced alertness, and impaired memory if their sleep is chronically disrupted.
Even when controlling for factors such as body mass index, gender, race, history of smoking, frequency of exercise, and medications, the lower an older individual’s sleep efficiency score, the higher their mortality risk, the worse their physical health, the more likely they are to suffer from depression, the less energy they report, and the lower their cognitive function, typified by forgetfulness.
Immunity
During periods of sleep deprivation, immune system function significantly decreases. Some of the consequences of this include:
Cancer—Numerous studies have found an association between sleep deprivation and cancer (while conversely, others have not—which I believe is due to the difficulty of properly studying this topic). Data supporting the link includes:
•In 2010, using all the available evidence, the WHO classified shift work (one of the most reliable ways to heavily disrupt natural sleep cycles and something many workers in the healthcare field experience) as a probable human carcinogen. This link is also supported by a 2023 review paper.
•An English study of 10,036 people over 50 found that poor sleep resulted in a 33-62% increased risk of cancer.
•A study of 23,620 Europeans found that those who slept for less than 6 hours per day were 43-46% more likely to develop cancer.
•When mice were intentionally sleep deprived, they experienced their speed and size of cancer growth roughly doubled, relative to the well-rested group.
•When healthy young men slept for four hours, compared to nights where they slept eight hours, there was a 72% decrease in their circulating natural killer cells (which are responsible for eliminating cancers).
•Two different studies found sleep apnea (which disrupts healthy sleep) caused a large increase in one’s risk of dying from cancer.
•Existing data shows that sleeping pills (which disrupt normal sleep) are associated with a large increase in one’s risk of cancer.
Note: the increased cancer risk may also be due to disturbances in the body’s normal release of melatonin or insufficient tissue oxygenation.
Infections—individuals who are sick are more likely to develop infections (e.g., most times I get sick are after periods of prolonged poor sleep). Some of the evidence to substantiate this common observation includes:
•Rats that are not allowed to sleep deteriorate and eventually die. When death occurs, it is typically due to sepsis from their gut bacteria.
Note: humans also can develop blood infections from their gut bacteria, but it typically requires circumstances that predispose them to it (e.g., on a central venous catheter as that provides a site bacteria in the blood stream can adhere to, or following a bowel rupture).
•A study determined how much sleep research subjects had had in the last week and then exposed them to the common cold virus (by squirting it in their nose). It found those who had averaged less than 7 hours of sleep were 2.94 times more likely to develop a cold than those who had more than 8 hours. It also found those with poor sleep efficiency (how much of the time bed you are asleep) were 5.50 times more likely to develop a cold than those with good sleep efficiency.
A study of 56,953 nurses found women who slept 5 hours or less were 1.7 times as likely to develop pneumonia over a 4-year period compared to those who slept 8 hours a night.
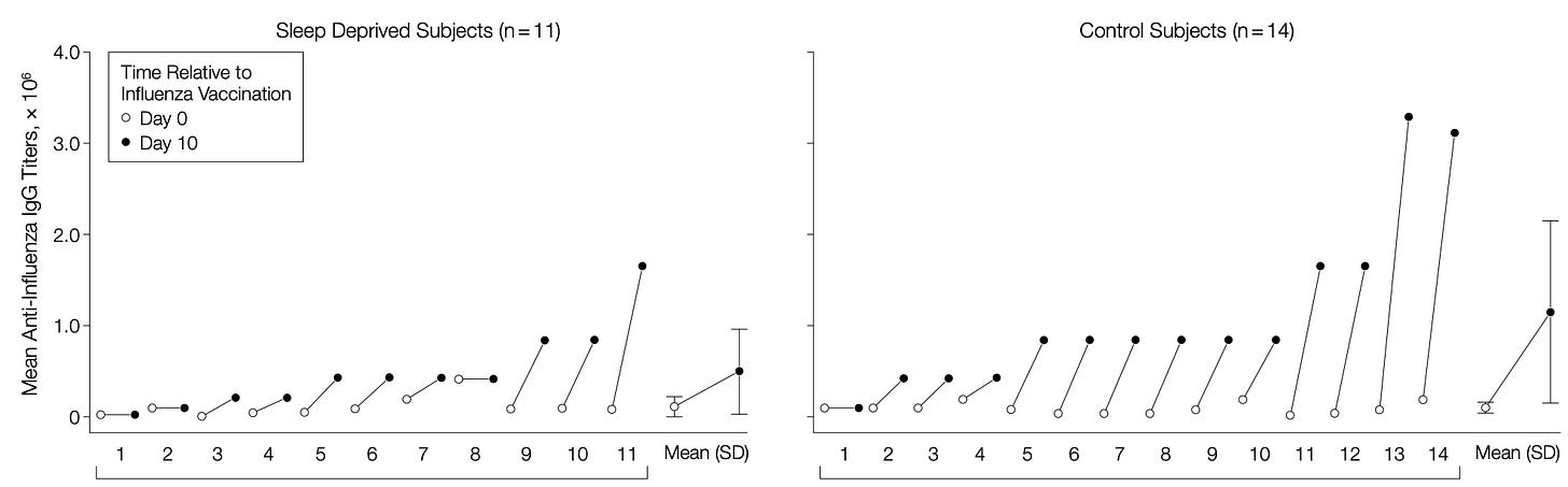
•A 2002 study compared 14 healthy young men who slept for 7.5-8.5 hours a day to 11 others who restricted their sleep to 4 hours a night for 6 days, after which all 25 received a flu shot. The sleep-deprived group was observed to produce less than half the vaccine antibodies seen in the control group, and this loss continued after normal sleep had been restored
Note: this association has also been seen with other influenza vaccines along with hepatitis A and B vaccines.
•When patients take sleeping medications that interfere with the sleep cycle, they have a significantly increased rate of infections (e.g., one large study found they increased one’s risk of pneumonia by 54% and one’s risk of dying from pneumonia by 32%).
Car Accidents
When people are sleep-deprived they have significant impairments in their attention (which a third of the population is particularly vulnerable to), their reflexes decrease, and they intermittently completely lose their awareness of the environment (e.g., because the brain engages in micro-sleeps). In areas of life where a split second can make all the difference, this can be highly consequential. For instance, when the rates of road accidents are looked at, “drowsy driving” has been found to be as dangerous as drunk driving.
For example, consider this study:
Note: for comparison, those with a blood alcohol content of 0.08 are 4X more likely to crash, whereas those with a BAC of 0.15 are at least 12X more likely to crash.
As teenagers have the greatest need for early morning sleep (due to their circadian rhythm being shifted forward) compelling data supporting this hypothesis has emerged in areas which had their school start times become later. Specifically:
•When a county in Kentucky made schools start an hour later, it resulted in a 16.5% reduction in car accidents with teen drivers (whereas during that period accidents increased by 7.8% in the rest of the state).
•When a Minnesota school district moved their schools’ start time from 7:30 to 8:00 a.m., depending on the district, there was a 6-70% reduction in traffic accidents in drivers 16-18 years of age (which averaged out to a 13% reduction).
•When a Wyoming school district moved their start time from 7:35 to 8:55 a.m., there was a 70% reduction in teen driver car accidents.
Similarly, the loss of focus and coordination created by sleep deprivation also often leads to sports injuries.
Heart Disease
There is a strong link between heart disease and sleep deprivation. For example:
•When time shifts forward during daylight savings (which results in people having to wake up an hour earlier) a 24% increase in heart attacks is observed, while conversely, when the clocks shift back, a 21% decrease occurs.
Note: the daylight saving shift has also been observed to increase the rate of car accidents by 6%.
•A Harvard Study of 23,000 Greeks discovered that once they abandoned their afternoon naps (siestas), over a six year period, they had a 37% increased risk of dying from heart disease. In working men, this risk increased to 60%.
•A 2011 study of 474,684 people across the globe found that shortened sleep was associated with a 48% increased risk of developing or dying from heart disease over 7-25 years.
Note: this study also found excessive sleeping increased one’s risk for heart disease.
•A Japanese study of 2,282 male workers found that those who slept less than 6 hours a night were 4-5 times more likely to have a coronary event (e.g., a heart attack or prolonged chest pain requiring catheterization or surgery) attack than those who slept between 7-7.9 hours each night.
Note: another study found adults over 45 who sleep less than six hours a night are 200% more likely to have a stroke or heart attack compared to those who only sleep 7-8 hours a night.
•A 2019 study found those with high blood pressure or diabetes who slept less than six hours had twice the risk of dying from heart disease or stroke compared to people who slept six or more hours.
•Sleep deprivation damages the lining of the blood vessels and shuts off the release of growth hormone (which is critical for the health of that lining). This is important, since heart disease is largely due to damage in that lining.
•Insufficient sleep impairs the brain’s control of blood vessel function, hence raising blood pressure.
•Sleep loss increases the levels of the white blood cells, which causes inflammation within the blood vessels.
Note: many of the studies demonstrating the link between sleep deprivation and damage to the blood vessels can be found in the references for this article.
•A study of 23,620 Europeans found that those who slept for less than 6 hours per day were 41% more likely to experience strokes and 44-78% more likely to experience heart attacks.
Note: When I am sleep-deprived, my heart often doesn’t feel right (e.g., the heart muscle hurts or the beat is more irregular), and I hence find myself needing to do some type of meditative practice to compensate for this.
Diabetes and Obesity:
Diabetes is defined by too much sugar being in the bloodstream (e.g., because cells no longer respond to insulin telling them to absorb the sugar or because too much sugary food was eaten). In the case of insufficient sleep:
•Numerous studies (e.g., this one and this one) have found insufficient sleep increases the desire for sugary foods, and increases the tendency to overeat them, along with increasing the hormones that cause hunger.
•Numerous studies (e.g., this one and this one) have found that poor sleep elevates blood glucose levels and decreases insulin sensitivity.
•There is a direct relationship between the health of one’s gut microbiome and the health of one's sleep.
•A study of 23,620 Europeans found that those who slept for less than 6 hours per day were 6-41% more likely to be diabetic.
Note: each time I’ve cited this study, I’ve given a range for the percent increase. This is because after the initial (highest) value, they adjusted it for potential cofounders which weakened the association.
•A meta-analysis found insufficient sleep made children 89% more likely to be obese and adults 59% more likely to be obese.
Note: many of the conditions sleep deprivation worsens are considered to be interrelated (e.g., diabetes greatly increases one’s risk for heart disease, and both heart disease and diabetes greatly increase one’s risk for Alzheimer’s disease). Because of this, the effects of poor sleep are often much greater than initially appreciated.
Learning:
One of the most important functions of sleep is that it determines which memories from the previous day should be retained (the rest are “eliminated” during NREM sleep) and then integrates them into long-term memory during REM sleep (e.g., see this study and this review article). Furthermore, it also integrates tasks the body had difficulty with during the day. For example, consider this anecdote which was shared with Walker:
As a pianist,” he said, “I have an experience that seems far too frequent to be chance. I will be practicing a particular piece, even late into the evening, and I cannot seem to master it. Often, I make the same mistake at the same place in a particular movement. I go to bed frustrated. But when I wake up the next morning and sit back down at the piano, I can just play, perfectly.”
Walker has focused on this area and conducted a large volume of research (which can be found here) that demonstrates sleep is essential for all aspects of learning. For example:
•Numerous studies (e.g., this one, this one) have demonstrated that sleep is responsible for developing fine motor skills (e.g., being able to quickly and smoothly perform a task that requires significant coordination) and that the integration is facilitated by NREM 2 sleep (especially what occurs in the last two hours of an eight-hour night of sleep).
•Numerous studies (e.g., this one) have demonstrated that sleep transfers short-term memory to long-term memory, while sleep deprivation has been repeatedly shown to impair retention.
•Sleep plays a key role in episodic memory (one’s memory of events that happened that day) and in memory consolidation.
Note: ecstasy and cocaine usage are associated with poor sleep and impaired memory.
•Prolonged wake time impairs learning, while healthy sleep restores it.
•Impaired sleep has been shown to account for the difficulty older adults often have retaining new memories.
It is thus unfortunate that the academic system (and particularly medical training) instead encourages periods of prolonged sleep deprivation.
Mental Health:
There is a longstanding association between psychiatric disorders and impaired sleep (e.g., as mentioned above, schizophrenia and psychosis are linked to poor sleep). In turn, my more holistic psychiatrist colleagues consider optimizing sleep to be one of the most important things they can do for their patients. To illustrate:
•Sleep deprivation increases emotional reactivity and impulsivity, and engaging in risky activity (e.g., gambling). Conversely, healthy sleep decreases one’s reactivity to traumatic experiences.
•Poor sleep has been shown to significantly increase one’s autonomic response to unpleasant things in their environment (e.g., they become more easily upset by them).
•Sleep helps calibrate an appropriate degree of reactivity to stimuli in one’s environment.
•Studies (e.g., this one and this one) show that poor sleep predisposes one to anxiety.
•Sleep loss makes individuals less able to accurately interpret non-verbal expressions, (e.g., see this study), which causes them to feel more threatened by those they encounter) and amplifies basic emotional reactivity, thereby increasing negative mood states (e.g., anxiety, depression, suicidality). Conversely, healthy sleep improves positive mood states and decreases emotional reactivity.
•Sleep loss has been shown to cause social withdrawal and loneliness.
•Sleep loss makes individuals less willing to help others the next day, and when the daylight savings transition occurs, donations to charity decrease.
Note: one of the interesting things I learned from Walker is that Arizona and Hawaii don’t follow daylight savings (which explains why their timezone “changes” half of the year). In hindsight, it would have been nice to have lived in one of those states while I was in school because I always noticed I did not feel good whenever daylight saving began.
•It is well known in psychiatry that bipolar episodes are triggered by sleep deprivation. One study that artificially created this situation found impaired sleep worsened a patient’s bipolar disorder.
Note: individuals with psychiatric disorders also frequently have impaired memory retention (another symptom of sleep deprivation) which may prevent them from retaining the lessons of psychotherapy sessions.
Cognitive Impairment:
As many of you know from personal experience, sleep loss is well recognized to cause brain fog and cognitive impairment (e.g., this study demonstrated sleep depriving test subjects worsened their auditory processing and responses on neurophysiological tests).
This process is particularly consequential in the elderly (who are widely recognized to be more susceptible to memory loss and cognitive impairment), and likewise more likely to suffer from impaired sleep as they age.
As this review paper shows, a significant body of research hence ties poor sleep (especially if chronic) to dementia. For example:
•A study compared 105 older women with sleep-disordered breathing (which impairs sleep) to 193 without it and found that sleep-impaired individuals were 71% more likely to develop mild cognitive impairment and 104% more likely to develop dementia.
•In one study, 737 older adults initially without dementia received annual measurements of their sleep quality, their cognition, and the presence of Alzheimer’s Disease (AD). After 6 years, individuals with poor sleep (high sleep fragmentation) were found to have a 22% increase in their risk of AD, with those who had the worst sleep fragmentation having a 50% increase.
•A study recruited 346 patients with normal cognition, averaging 75.9 years of age, 80 of whom had insomnia. It found those with insomnia were 139% more likely to develop AD.
•Sleeping disorders are very common in AD. For example one study found that the seven most common sleeping disorders occurred in between 50.0% to 65.5% of those with AD (which was 2.0-4.46 as frequent as that seen in patients without AD).
Furthermore, many studies have directly tied poor sleep to the pathogenesis of AD. For example:
•A remarkable 2020 study of 32 individuals without cognitive impairment who received an average of 6.1 months of sleep assessments and 3.7 years of PET scans (a non-invasive way to measure Alzheimer’s plaques in the brain) found that disrupted sleep caused an accelerated accumulation of Alzheimer’s plaque and forecasted the development of dementia. These results are very important as most adults at this stage do not recognize the damage accumulating in their brain which will inevitably lead to dementia.
Note: one of the unfortunate things about AD is that the presence of one of the misshapen proteins found in it (tau) has been linked to impaired sleep quality, while the other, β-amyloid has been linked to losing the ability to recognize one is suffering from impaired sleep. These facts, combined with the 2020 study help to illustrate why AD can be so insidious and seem inevitable once it’s snuck up on someone. Likewise, in the same way poor sleep impairs the retention of long-term memory, AD disease plaques do as well.
•Deep sleep has been shown to mitigate the cognitive impairment created by Alzheimer’s plaques.
•The only method that has ever been proven to reverse AD (discussed further here) places a heavy emphasis on restoring healthy sleep.
It is thus remarkable that sleep is rarely considered in the field of AD, given that AD is one of the most costly diseases in society. Unfortunately, like many other areas in medicine, all of that knowledge has been buried, and for decades we’ve instead spent billions of dollars each year on (flawed) research to develop incredibly expensive drugs which, at best, may slow the progression of AD (which simultaneously have a wide range of severe side effects such as causing brain swelling and brain bleeding in 41% of those who receive them).
Note: this article only scratches the surface of the research on the benefits of sleep (e.g., women sleeping less than 8 hours have a 17% reduction in follicular-stimulating hormone, are 30% more likely to have abnormal menstrual cycles, and may have reduced fertility, relative to those obtaining sufficient sleep). However, I hope what I presented here sufficed to make the point that sleep is very important.
The Sleep Crisis
“Adequate sleep” in turn requires one to achieve all of the following:
•Have enough time set aside to sleep.
•Being able to fall asleep once you are in bed (as if you lie awake for 2 hours of a “8” hour sleep, you are only actually sleeping for 6 hours).
•Making sure your brain is actually enters each phase of sleep once you are no longer awake.
Note: significant debate exists as to exactly what constitutes enough sleep. It is generally agreed that normal adults, need between 7-9 hours a night (whereas many, myself included believe 7 hours a night is too low). Furthermore, the amount humans need varies with age and to some extent by individual.
Existing data shows the developing infant sleeps, and according to Walker, at approximately 23 weeks of pregnancy, the brain has developed the capacity for NREM and REM sleep (he argues the “kicks” a fetus produces are a product of the sleep paralysis circuits for REM sleep not yet being developed). At this stage, the infant initially spends roughly 6 hours in REM sleep, 6 in NREM, and 12 hours in something in between them, while later in the third trimester, the fetus begins to be awake for 2-3 hours a day, and in the last two weeks, REM significantly increases (9 hours in the second to last week and 12 hours in the final week).
Since sleep is crucial for the development of the brain, increased needs persist through childhood (i.e., between 4-12 months they need 12-16 hours, between 1-2 years they need 11-14 hours, between 3-5 years they need 10-13 hours, between 6-12 years they need 9-12 hours and between 13-18 years, they need 8-10 hours).
Sadly, we get nowhere near that much sleep, which in turn likely plays a key role in the widespread illness throughout our society.
For example, a Gallup poll, released April 15, found 57% of Americans say they would feel better if they could get more sleep, while only 42% say they are getting as much sleep as they need. More concerningly, these numbers have continued to worsen as the years go by (which I believe is a symptom of the fact we are being forced into a feudalistic economy that overworks everyone so they can never challenge the system).
Furthermore:
•35.5% of American adults report they sleep less than 7 hours per night.
Note: this figure varies greatly by state (e.g., Hawaii is the highest at 45.6%).
•Roughly 30% of adults have symptoms of insomnia, with 14.5% experiencing insomnia all (or most days) of the month and 10% having insomnia which impacts their daily activities.
•13.5% of adults report feeling tired or exhausted most days.
Note: according to Walker, ten days of deficient sleep (6 hours a night) produced an equivalent impairment to that seen after one stays awake for 24 hours). Sadly, both of these are frequently seen in our society (e.g., in university students and medical trainees).
•Sleep apnea (which significantly impairs the sleep cycle) impacts 9%–38% of the general population.
•Poor sleep (e.g., insomnia, early awakening, or not feeling rested) is even more common in the elderly (who have the greatest need for sleep). For example 1995 study of over 9,000 individuals 65 or older found less than 20% rarely or never had sleep issues, while more than 50% reported sleep issues most of the time (e.g., 23-34% had symptoms of insomnia). That study in turn found that many of the consequences of poor sleep discussed earlier were elevated in those with sleep disturbances. More current estimates find that 30-48% of the elderly experience symptoms of insomnia and between 12-20% have insomnia disorders.
•As we age, we become less able to spend all of our time in bed being asleep:
•Likewise, we become more likely to awaken multiple times each night (e.g., due to age-related incontinence):
Given that the elderly are the most vulnerable to deficient sleep (and the least able to initiate the restorative sleep cycle while sleeping due to things like the development of AD), these changes with age are quite unfortunate and again illustrate why healthy sleep should be prioritized.
Sleep Disruptors
Unfortunately, in addition to us not having enough time to sleep, a variety of things in our environment either disrupt our ability to stay asleep, or more insidiously, our brain’s ability to perform the vital functions of healthy sleep while we are sleeping.
Some of the biggest offenders include:
•Modern technology has created a variety of unnatural signals from the environment which interfere with the body’s normal regulation of sleep.
Note: undoing this is the basis of using sleep hygiene practices to fix the sleep cycle, which will be discussed later in the article.
•Habitually consuming long-acting substances that block our ability to sleep (e.g., caffeine or alcohol).
•A wide range of commonly used pharmaceuticals being heavily disruptive to sleep (e.g., decongestants, asthma inhalers, common blood pressure and diabetes medications, antidepressants, opioids, prostate medications, stimulants, corticosteroids).
Note: many pharmaceuticals are neurotoxic and sleep disruption is a common consequence of being injured by them. One of the most notorious examples was the 2009 (emergency) swine flu vaccine causing a significant number of its recipients to develop narcolepsy (one of the worst sleep disorders), particularly since this link was later acknowledged by the medical authorities.
Sleeping Pills
Because of the immense problems our society faces from sleeping issues, a massive “treatment” market exists. Unfortunately, like many things in modern medicine, the more money we put into the problem, the worse it becomes. To illustrate:
Despite a nearly $65 billion a year (and growing) sleep aid market, 50-70 million American’s suffer from sleep disorders and many more experience the physical and mental toll lack of sleep can have on the body and brain on any given day. Globally, the “sleep economy,” which includes everything from beds and pillows to medical devices, rings in at a whopping $432 billion a year. In 2020 alone more than half of Americans say their sleep worsened due to the pandemic, and 76% of American’s admitted to purchasing a sleep aid to help them fall asleep, stay asleep or improve the quality of sleep had at night.
The entire scam comes down to the fact most sleeping pills are sedatives, not sleep aids. What this means is that once you take them, you are no longer conscious, but since this is done through sedating the brain, its ability to initiate restorative sleep functions is greatly impaired. As a result, people who take sleeping pills effectively have greatly reduced sleep, and in turn, are both tired throughout the day (because they did not have a restorative night of sleep) and are at high risk of developing a wide range of health issues associated with poor sleep.
For example, one study found people who used sleeping pills were twice as likely to die as those who did not (and three times more likely if they were daily users). Worse still, another study that compared 10,529 sleeping pill users to 23,676 controls, found that over the course of 2.5 years, the sleeping pill users (depending on how many pills they took) were 3.6-5.4 times more likely to die, and for those who took at least 18 pills a year, they had a 7-99% increased risk of dying from cancer. This in turn, led the authors to conclude that in 2010, prescription sleeping pills “may have been associated with 320,000-507,000 excess deaths within the USA alone.”
Most prescription sleeping pills (e.g., Ambien) are classified as “sedative hypnotics” and are fairly similar to the benzodiazepine medications commonly used for anxiety (e.g., Valium). The problem with these drugs is that they are highly addictive, but unfortunately, despite the fact they are only supposed to be used in the short term, individuals typically end up being permanently on them (at which point they can’t withdraw from them). Conversely, over the counter sleeping pills (e.g., Benadryl or Unisom) are typically antihistamines, and unfortunately are also sedatives that damage the sleep cycle (e.g., I once had a medical student who habitually used Unisom and then had to drop out because they gradually became psychotic).
Note: alcohol has a similar mechanism to benzodiazapines, which may explain why it is an addictive sedative that inhibits the sleep cycle.
Gamma-Hydroxy-Butarate
While most of the sleeping medications are unsafe and ineffective drugs that are best avoided, one actually worked and frequently produced miraculous results. In turn, I know of numerous cases where my colleagues prescribed it to chronically ill patients with challenging conditions (e.g., non-restorative sleep is one of the classic symptoms of fibromyalgia) who almost completely recovered once they received it.
That drug, originally developed in 1874, is gamma-hydroxybutyrate, and in 1964, it began to be marketed in Europe as an intravenous anesthetic but never quite caught on due to its unusual properties. On one hand, it is an ideal anesthetic as:
•It slows the heart rate without creating a loss of blood pressure.
•It doesn’t irritate the veins.
•It doesn’t suppress the respiratory centers in the brain.
•It relaxes the muscles.
•It induces sleep without reducing oxygen consumption.
•It protects tissue from injury due to blood loss (e.g., during hemorrhagic shock) or from reperfusion injuries after a temporary loss of the blood supply.
•It permits an easy reduction and maintenance of the body temperature and reduces the metabolic demands of the brain.
Conversely:
•Its duration of action is somewhat unpredictable.
•The central nervous system remains active (and hence the autonomic nervous system will regulate the body in response to external stimuli).
•In adults (not children) it is insufficient for total anesthesia and hence normally needs to be used with another anesthetic (which is given at a lower dose).
Because of this, while it was much safer than a typical anesthetic, it was not practical to use during surgeries and was much more appropriate for use in the intensive care unit.
Over the decades that followed, a wide range of research was done on this substance, where it was discovered it had a variety of other extraordinary properties and very low toxicity (e.g., it metabolized to succinate and then water within the mitochondria, its LD50 was 4.28 grams/kg, no deaths have ever been conclusively attributed to it, and when humans have been kept asleep for 24 hours on it or rats for 5 days, they recover immediately once it wears off).
The most apparent benefit was that it was a powerful (and consistent) sleep aid that immediately put the recipient deep into the sleep cycle, resulting in the benefits of those cycles being restored for many who had previously lost them, and the individual waking up feeling completely refreshed and energized. Furthermore, it frequently could allow people to feel fully refreshed after just a 3-4 hour sleep, was unlikely to be addictive, and did not suppress the reticular activation system.
Note: while its benefits have been clearly demonstrated for those with sleeping disorders, its effect on the sleep of relatively healthy individuals is much less understood.
As scientists (and then members of the public) began exploring the drug, according to Ward Dean MD (who provided extensive references to support his claims), they found a variety of benefits from GHB including:
•It dramatically increased the levels of growth hormone (e.g., 2.4 grams given intravenously, in 30 minutes, caused a 16-fold increase in GH levels). As growth hormone heals and repairs the body (but greatly declines with age), this resulted in many previously frail elderly patients on GHB having significantly increased strength, stamina, muscle mass, and function, while in younger patients, significant improvement was seen in their healing from musculoskeletal injuries.
Note: I know one doctor who gave GHB to their adolescent son to increase his growth, and it did appear to work (and it did not have any side effects).
•It produced remarkable results in the treatment of a variety of addictions, particularly opioids (e.g., see this study), alcohol (e.g., see the results of this study), and benzodiazepines, along with helping mitigate the withdrawals from each of these substances. Conversely, GHB was not addictive.
•It increased dopamine levels within the substancia niagra (thereby counteracting the effects of Parkinson’s disease).
•It aided childbirth by relaxing the mother, dilating the cervix, and protecting the fetus from respiratory depression.
•It had a variety of aphrodisiac effects, such as making people much more comfortable with sexual intimacy, dramatically increasing their sensitivity to touching or being touched, improving male erectile capacity and premature ejaculation, and increasing capacity for female orgasms.
•Helping individuals address subjects they are otherwise inhibited from exploring during therapy (thereby allowing therapeutic breakthroughs to happen). GHB was also found to be particularly helpful for couples therapy.
•Having a disinhibiting effect like alcohol but making individuals friendly rather than aggressive.
•It temporarily helped with anxiety but without many of the side effects seen with benzodiazepines. Similarly, in France, it was frequently used by students who had to pass an exam or give a public presentation.
Given these remarkable benefits and the decades of research supporting its use, why has no one ever heard of it?
The Ivermectin of Sleep Medicines
In this publication, I have tried to illustrate how frequently the medical industry recruits the public relations (PR) industry to concoct a campaign that guarantees them lucrative profits at the expense of everyone’s health.
For example, I recently highlighted how the dermatology profession rebranded themselves as skin-cancer fighters (an incredibly lucrative business that transformed dermatology from one of the least desirable to the most desirable specialities) through spreading as much hysteria about skin cancer and the dangers of sunlight as possible. This was really bad because sunlight is essential for physical and mental health (e.g., avoiding it doubles one’s risk of dying), and a lack of sunlight causes rather than prevents the deadliest skin cancer (which is why billions of dollars later, skin cancer deaths are relatively unchanged).
Likewise, as many of you know, throughout COVID-19, the FDA covered up the clear and unambiguous evidence demonstrating the benefits of ivermectin for COVID-19, creating a hysteria about it (and hydroxychloroquine’s) dangers despite them both being incredibly safe drugs, as well as doing all that it could to block ivermectin from being used in the USA (which was later defeated in court).
In the case of GHB, in the early 1990s, it began entering the USA as a supplement (largely due to bodybuilders recognizing the value of it increasing growth hormone in the body). Before long, the FDA decided they needed to stop it, and became very interested in publicizing the adverse reactions that occurred to it, and in no time, discovered 57 calls to poison control about it (which the CDC heavily publicized), including 9 which resulted in ICU admissions (but 0 of which are fatal). This in turn, is very similar to the epidemic of poison control calls for ivermectin and hydroxychloroquine deaths we saw throughout COVID-19 (all of which were later shown to be a hoax—for example, the photos of people lining up at the ERs that were supposedly overloaded with ivermectin poisonings were actually old images of individuals lining up for COVID-19 vaccines).
Note: one of the unusual properties of GHB is its short half-life (it typically wears off in 3-4 hours). Because of this, individuals who take a high dose of it (especially if it is combined with alcohol or a benzodiazepine) will fall into a deep slumber with slowed but expansive breathing they cannot be woken from until the drug wears off (which can be mistaken for a coma). In turn, there were many cases of individuals passing out on GHB, and then being brought to the hospital by panicked relatives and then briefly intubated (by doctors who did not understand what was going on), including instances where someone woke up fully alert as they were about to be intubated and leaving (along with at least one case where they were then forcefully intubated).
In response to this “epidemic” the FDA decided to release an urgent press release.
Then on the basis of the authority “bestowed” by this press release (which was full of deceptive inaccuracies), the FDA banned GHB in the country, threatened compounding pharmacies into no longer supplying it, and began raiding people who were supplying it (which they did not have the legal authority to do). Many of these arrests eventually went to the courts, where the FDA engaged in a series of highly unscrupulous tactics. For example, when attempting to prosecute individuals for supplying GHB, they argued that there was “no evidence” GHB had any valid use or had any evidence of safety, but simultaneously, they refused to let the courts admit the decades of evidence arguing otherwise or the fact there were 15 investigational new drug applications which had been submitted to them for GHB (each of which indicated a lot of that evidence actually existed). For reference, those INDs were for:
Note: this is similar to how there was “no evidence” ivermectin worked for COVID-19 despite the fact dozens of trials had proven otherwise.
Because of how egregious the FDA's tactics were (e.g., prosecutorial misconduct, withholding evidence from the defense, lacking a legal basis for the prosecution, entrapment, or illegal searches and seizures), the higher courts gradually sided with the defendants and began overturning the convictions. The FDA in turn, switched to trying to persuade the state legislatures to outlaw GHB (as politically it was not possible for the FDA to do so at a Federal level).
Note: at the same time this was happening, the FDA was also silencing thousands of SSRI antidepressant victims (the recently released Prozac was one of the most complained about drugs in FDA history), silencing its own employees who tried to speak out, producing fraudulent research to protect the drugs and defying Congressional oversight of their conduct with the SSRIs. I previously wrote an article documenting that saga because I felt it represented one of the best case precedents to predict what they will do with the COVID vaccines.
As Rohypnol (“Roofies”) had recently entered the United States and fear was beginning to build over its use as a date rape drug (since it both made the recipient unable to resist the assault and likely to forget it), the fear of Roofies was juxtaposed onto GHB. In turn, the media began trumpeting that America was facing a wave of rapes from a silent, odorless, and colorless drug that made one helpless to resist or even remember sexual assault. In parallel, these (likely focus-group tested) words began flooding those stories about GHB: "dangerous," "potentially lethal," "hallucinogenic," "addictive," "illegal," "designer," "date-rape" "drug."
Note: Rohypnol was able to avoid the later bans GHB faced because its manufacturer successfully lobbied for it to be left alone.
Before long, a few young women were identified who had been date-raped while on the drug and then died afterward from the drug's side effects. The media did all that it could to fan the hysteria (e.g., see this Time article or this San Francisco Chronicle article or consider these patently false quotes):
A lot of people [GHB users] have heart attacks, go into cardiac arrest." —Sgt. Michael Lewis, Atlanta Police.
• "GHB, the new back-room drug on the party scene, can kill without warning." — Steven Frazier, CNN
• "GHB slows breathing — cuts off oxygen. A blackout can be brief —can be forever." —David Lewis, CNN
Note: one of the most extraordinary ones was the Tennessee Bar Association publishing an alleged affidavit from the medical examiner who performed Elvis’s autopsy claiming GHB killed him (although once questioned, they stated it was just an “academic exercise”).
Using this fear campaign, the FDA gradually convinced individual states to ban it, and in 2000, in honor of two GHB victims, Congress passed the “Hillory J. Farias and Samantha Reid Date-Rape Drug Prohibition Act of 2000." That law made GHB a Schedule I drug (whereas cocaine for example, is a Schedule II drug), thereby bypassing the protections GHB had from the 1994 DSHEA Act (as GHB is produced naturally within the body and found in small amounts within meat and wine). Remarkably however, the (“emergency”) law also included a special exemption for a pharmaceutical preparation of GHB, which was instead made a schedule III drug (which violates the entire basis for the scheduling as something can only be a schedule I if there is no accepted medical use for it).
Note: this scheduling also made it very difficult to conduct future research on GHB.
In looking at these events, there are three important things to take note of.
First, the entire epidemic was made up of:
•A safety database (used for monitoring these types of things) found GHB accounted for less than 0.1% of the drugs mentioned in Emergency Department reports.
•In 2006, after the English Police examined 120 cases of sexual assault, they determined 119 of them involved alcohol (often at dangerous levels), 57 had taken an illegal or controlled prescription drug (e.g., cocaine), and only 2 had received GHB (which may or may not have played a role in the assault).
•A 2010 literature review determined that GHB had been detected in between 0.2-4.4% of reported sexual assaults and hence was not causing the rape epidemic the media’s hysteria had suggested.
Note: the most detailed account I have found about the (tiny) GHB epidemic can be found here.
Second, it didn’t make any sense as:
•GHB was very salty and hence easy to taste (rather than being a stealth rape drug), especially at a dose which would be sufficient to sedate someone.
•If GHB actually was an effective date rape drug, the last thing you would want to do would be to widely advertise it to potential rapists.
•Most of the claims made about GHB overtly contradicted the decades of research on it (e.g., minor muscle movements made on the drug were labeled as seizures despite EEG studies repeatedly showing they were not accompanied by seizure motion in the brain, while the brief deep sleep it caused was labeled as “comas”).
•In lieu of evidence, the media unquestionably repeated the government’s talking points.
Finally, each widely publicized GHB victim (none of whom were ever sexually assaulted) had a story inconsistent with GHB being their cause of death alongside cause clear cause of death besides GHB (e.g., a blood clot in the heart and a family history of fatal heart defects or accidentally being dropped on the head while asleep). This includes the two date-rape victims the act that outlawed GHB was named after. Likewise, the small number of case reports that were used to portray GHB as dangerous presented a very weak case that it was. In contrast, large numbers of victims exist for many of the lucrative drugs on the market, but we never hear about them because their manufacturers sponsor both the media and political class.
Note: much of the previous two sections were sourced from the book Dean Ward M.D. wrote about GHB, some of which can be found in a shorter statement he made.
Addendum—after publishing this article I was asked to clarify how Roofies (Rohypnol), through lobbying, was able to avoid the bans (sanctions) GHB faced. Briefly, Rohypnol (flunitrazepam) is a fluorinated benzodiazepine that (likely due to being fluorinated) has very powerful effects on the central nervous system leading to it being used as an anesthetic and sleep aid. When flunitrazepam came into medical use in 1974, its manufacturer Roche, opted to bring it to market around the world—but for some reason not seek FDA approval in the USA (which is likely why it took a while to enter America). When the date rape drug (anti-GHB) bills began circulating at a state level, this led to a remarkable feat of lobbying. To quote Ward Dean M.D.
Incredible as it may sound, in Hawaii, GHB was legally classed as a date-rape drug, while Rohypnol® (a highly potent, commercial benzodiazepine drug, similar to Valium and Xanax) was quietly dropped from the legislation at the last minute, apparently due to pressure applied by its manufacturer, Hoffman-La Roche. This occurred despite the fact that Rohypnol is widely acknowledged to be used for date-rape purposes (It is far more potent than GHB, and because a smaller dose is required, far easier to slip into someone's drink unnoticed.) With no equivalent force willing to stand up for GHB, it never stood a chance.
After I saw Ward Dean’s claims, I reviewed the text of the national anti-date rape drug law, and sure enough, it somehow was not in the legislation. I then checked flunitrazepam’s DEA scheduling, and found out it was a schedule IV (which is the least severe category and what both Valium and Xanax are in). From this, I inferred Rohypnol was kept out of the date rape bills to protect its international market.
Note: in the decade that followed, Rohypnol was gradually withdrawn from the market, but to this day still remains legal in many countries.
The Aftermath
Because of this debacle, it became much more difficult to get GHB, and many leading integrative doctors at the time were disgusted with the FDA as they saw how much GHB benefitted their patients and treated a variety of immensely challenging illnesses. For example, one of my (somewhat-renowned) colleagues is fairly left-wing and reflexively denies the notion any type of coordinated conspiracy could ever exist, but even he is outraged over what happened with GHB and believes the stories of GHB rapes were a complete hoax.
In my own case, I periodically have patients request it from me, and I sadly have to explain that were I to help them obtain it, I could get in far more trouble than if I were to become a humble cocaine dealer. However, while GHB was outlawed, the pharmaceutical preparation, sodium oxybate (Xyrem) was not.
Note: other salts of GHB (e.g., potassium oxybate) with slightly differing properties also exist.
Unfortunately, due to the unique situation its dual classification has provided it, Xyrem is extremely expensive (it costs about $60,000 to $100,000 a year for it), most doctors can’t prescribe it, and it is very difficult to qualify for a prescription of it as one must meet the criteria for severe narcolepsy. Nonetheless, because of how life changing it is, people still choose to go through the hassle of getting it and then paying for it out of pocket (as insurance often won’t cover it).
Note: I do not know of any other easy to synthesize (and over a century old) pharmaceutical drugs which commands an equivalent price. For example, while cocaine is an expensive drug, Xyrem costs significantly more than a typical addict spends on it in a year.
Since strong evidence exists to support the use of GHB for many other conditions (e.g., it's a safe and highly effective treatment for alcohol addiction), many people have tried to get the FDA to change their position that it’s just a “dangerous date-rape drug” over the years. Consider for a moment what happened with fibromyalgia (a condition which is conventionally incurable and affects at least 4 million Americans):
Multiple trials have shown sodium oxybate to be effective in treating important symptoms of fibromyalgia, such as pain and poor sleep structure. However, in 2010, the FDA voted unanimously against this indication, with commenters citing its potential for abuse as a street drug.
Note: the only other thing GHB has been approved for (in 2021 after years of lobbying) is the treatment of idiopathic hypersonmnia, a condition very similar to narcolepsy.
Since GHB is easy to synthesize and it essentially allows people to become drunk without the hangover (while simultaneously functioning as an effective aphrodisiac), it became very popular in the rave scene (where to some extent, it is still used). Likewise, since some patient populations who are dealing with significant challenges (e.g., due to PTSD) find GHB greatly helps them, I periodically hear of them finding a way to get it.
Note: the fact that GHB is a superior alternative to alcohol suggests that the alcohol industry was also threatened by its availability.
Over the years, I’ve talked to numerous people who used or prescribed it. Collectively, they’ve told me:
“I don’t think it’s a very effective date rape drug—alcohol is much more powerful.”
“When you are on GHB, touch feels incredible and groups of people often just want to hold each other.”
“I have seen a few people who repeatedly used it become somewhat addicted to it.”
“Most of the issues with GHB come from people around you not being warned you might pass out for a few hours, it being dosed inappropriately, or mixing it with alcohol, benzodiazepines or antihistamines.”
“I’ve never had an issue with it.”
“It is incredibly helpful for sleep, so I use my limited supply when I really need to be well-rested and clear-headed the next day.”
“It is a remarkable drug, but I have seen it cause memory loss, addiction, airway issues, and mood depression in people who use it so it needs to prescribed appropriately.”
“The effect is very different depending on the dose you use.”
“The growth hormone release is a big deal.”
“Make sure you never use it while driving.”
Note: many of these also match what Ward Dean M.D. believed.
Conversely, when I’ve looked into anonymous online reports, I’ve found many had remarkably positive experiences, while others reported negative experiences which while bad, were not as bad as the things I often see the traditional sleeping pills cause, but nonetheless indicate that GHB needs to be used responsibly under the supervision of a doctor who what they are doing. That said, I have not used or prescribed GHB, so everything I am sharing here comes from what colleagues and patients shared with me.
Overall, one of the most extraordinary things about the GHB saga is that its many of benefits discovered over the decades of research it received were then subsequently discovered by the sleep research community to result from healthy sleep. This again illustrates how often the research we really need already exists but was simply buried due to it being inconvenient for industry.
More than anything else, I believe the GHB story demonstrates the importance of not being overly biased. For example, while many doctors hold a strong prejudice against any “natural” (e.g., non-drug) therapy, I am the opposite and typically avoid using pharmaceutical drugs because of how frequently I find their harms outweigh their benefits. Nonetheless, I periodically find extraordinary drugs (e.g., DMSO) I give a hard look at and end up using throughout my medical practice. Sadly, as the war against ivermectin showed the world, the primary motivation behind most of medicine is money, and as a result, whenever a true miracle drug is discovered (that competes with existing drugs), medicine moves to bury it, regardless of how much evidence there is in support of it.
Sleep Hygiene
Since we will likely never be able to get GHB, we must instead look at the other options for improving sleep. One of the most tried and true ones is to change the signals your body receives so it can go to asleep on its own.
Briefly, three processes are at work:
1. Throughout the day, the brain metabolizes ATP to into adenosine as energy is harvested from ATP. When there is an excessive amount of adenosine in the brain, it provides a signal to feel tired and initiate the sleep cycle (presumably because it serves as a proxy for other metabolic waste products).
2. The body has a cyclic pattern it goes through during the day known as the circadian rhythm. For example, consider what happens to its temperature:
This rhythm is self sustaining, signals to the body when to go to sleep, and also responds to environmental cues. Because of this, the ideal thing is to go to sleep at the same time each day and have the daily signals your body receives be consistent in their timing and match those that would tell it to go to sleep at the correct time (e.g., at 10pm each day). Unfortunately, modern life continually prevents that from happening, and as a result, we often get signals from our circadian rhythm to be asleep when we should be awake.
3. Sleep is an active energy intensive process. Because of this, if the drive for sleep is weak and significant barriers to sleep exist (e.g., age related damage to the parts of the brain which initiate sleep), it’s often not possible (or quite difficult) to get to sleep, which in turn creates a downhill spiral (because deficient sleep further worsens the brains ability to maintain its health).
Note: one of the most common barriers to sleeping I encounter in patients are fluid obstructions within it (many of which respond to treatment which restore the physiologic zeta potential and hence increase circulation throughout the body; unfortunately for elderly, the physiologic zeta worsens with age). Likewise, I often find EMFs (possibly due to their adverse effect on zeta potential or their inhibition of the memory encoding process) create a significant barrier to sleep for some. Because of this, more sensitive patients find reducing their exposure (e.g., by flipping circuit breakers at night, disabling WIFI, putting the phone near your bed on airplane mode, living in a low EMF area, or camping in an EMF dead zone) greatly helps their sleep.
Treating insomnia hence is a product of improving one or more of these and hoping that gets you to sleep.
Note: additional issues need to be considered if the problem instead is an inability to stay asleep (e.g., reactive hypoglycemia).
Caffeine and Alcohol:
Both caffeine and alcohol are highly disruptive to sleep. In the case of caffeine, it works by blocking the adenosine receptors in the brain (hence eliminating the pressure you feel to be tired as a result of the brain having built up metabolic waste products during the day it needs sleep and the gylmphatics to clear out). In the case of alcohol, like sleeping pills, it functions as a sedative which is highly disruptive the actual sleep cycle (hence why people wake up not feeling clear in the head after a night of drinking and why drinking greatly impairs your ability to memorize whatever you’ve studied).
Note: at a young age, I noticed each of these substances negative impact the health of the adults around me, so I avoided them completely, and I believe that gave me a major leg up in life.
The important thing to understand about each substance is that it takes a while for the liver to metabolize and eliminate them, and furthermore, that the rate of elimination varies person to person. Because of this, people often still have the substances active in their blood stream at the time they are trying to get to sleep (e.g., slower metabolizers are kept awake in bed by an afternoon cup of coffee, while moderate metabolizers have their sleep disrupted by an evening glass of wine). Furthermore, for most people liver metabolism declines with age (which is another reason why sleeping issues are so prevalent in the elderly).
Lastly, one of the most intriguing data points I’ve seen about the effects of caffeine came from this NASA study:
Temperature:
Note: I know someone who shared with me that the most restorative period of their life was when they spent the winter in a snowy mountain cabin without gas or electricity, and that each night they went to sleep in front of a fire (so they didn’t freeze), then woke up in the middle of the night from the cold (because the fire went out) at which point they restarted the fire and went back to sleep. While this is a bit extreme, it helps illustrates how different modern life is from what the human body experienced throughout most of human history.
One of the most consistent signs in the environment to sleep is the temperature dropping at night. For this reason, people often find cooling the body (which warm baths ultimately do once you get out as they bring core blood to the surface which is then cooled as the bathwater evaporates off your skin) helpful for putting them to sleep. Likewise, the body’s temperature drops by 1-2 degrees when you sleep, and people often find sleeping in a cooler room helps them get to sleep (whereas many, myself included) have a great deal of difficulty sleeping in hot rooms (so I’ve learned to make sure I never run into this issue when I travel).
Because of this, people struggling with insomnia are often advised to make their rooms colder (e.g., according to Walker, assuming standard bedding and clothing, the ideal bedroom temperature for sleep is around 65 degrees F° [18.3°C]).
Note: one of the most interesting approaches to overcoming the temperature barrier for sleep was a study that found using a customized suit to externally drop people’s temperature made it much easier for them to sleep (especially in the elderly).
Light:
Your brain evolved to have the light present in the early morning (blue) wake you up, while the light present at the end of the day (red) signals you to sleep. Since we are continually exposed to blue light (most electronic screens give them off—which I believe was done intentionally to make them more addictive), we have widespread issues with sleep cycle dysregulation (as blue light stops the pineal gland from secreting melatonin).
Note: I periodically encounter people whose sleeping issues seem to be coming from issues within the pineal gland or the hypothalamus (e.g., due to microstrokes) and require something to directly heal that gland (e.g., restoring the zeta potential and hence blood flow to the gland).
To address the unnatural light issue, people suggest:
•Using blue light filters on all electronic devices. I think f.lux is the easiest option for computers, while with cell phones, a variety of apps exist (however, the default settings in the phones typically do not remove blue light from the screens). You can also put blue light-blocking material directly on screens or wear blue light blocking glasses.
Note: the rest of the body (especially the middle of the forehead above the nose) is also somewhat sensitive to light so some cases, this needs to be addressed as well (e.g., if I can’t eliminate a light, I will sleep in sheets that block the light from contacting the rest of my body.
•Change the lighting in your house. Most people believe halogen lamps and incandescent bulbs are the best options, while fluorescents are the worst, followed by LEDs with a low amount of blue light (many have a lot of blue light). Some people like to use red lights in the house at night too. Unfortunately, there has been a gradual push to phase out these healthier lights and replace them with unhealthy energy efficient ones (e.g., certain states, like California, have banned the sale of incandescent bulbs and likewise in 2022, Biden decided to prohibit them being used in the US).
Note: my favorite lighting option I ever came across was the traditional sodium-vapor lamps (the orange street lights). Unfortunately, these are gradually being replaced with toxic LED street lamps that emit large amounts of blue light (which, amazingly, even the AMA said was a bad idea).
•Do everything you can to reduce the light in your room (e.g., no electronics that blink) and, if possible lightproof everything (e.g., use effective blackout curtains that can entirely block the light in each room). I have incredible difficulty sleeping in poorly light-proofed rooms, which is one of the primary reasons I do not travel as much now.
•If your circadian rhythm has been disrupted (e.g., from traveling to another time zone), having melatonin a few hours before bed can help reset your circadian rhythm to the correct time.
Note: many melatonin supplements on the market do not contain the melatonin they claim to. Additionally, we have observed that long term continual usage of melatonin can lead to a variety of other problems, something we suspect is due to the pineal gland becoming dysregulated (due to an excess of melatonin in the system) and hence no longer performing its normal secretion of melatonin throughout the day. For this reason, I believe melatonin should be applied in a targeted and judicious manner rather than it being a supplement that is always taken for sleep.
Behavioral:
•You need to have your bedroom be a place that is psychologically associated with sleeping (this can include physical intimacy). Sleep hygienists generally advise minimizing the number of non-sleep-related things in your bedroom (e.g., a TV or desktop computer) and avoiding intellectual activity or social media in your bedroom.
•You need to have a set time to wake up and sleep each day. The body adapts to a rhythm, and if you keep changing that time, the body has much greater difficulty falling asleep.
Note: many people find cognitive behavioral therapy (CBT) to be extremely helpful for insomnia and there is now significant evidence to support it being a first line therapy.
•You need to allow your mind to wind down before sleep. If you can give yourself at least a 1-2 hour buffer between screens and other mentally taxing or emotionally stressful activities before sleep, that is ideal. For many people, this is the single most important thing for ensuring healthy sleep (especially those with unaddressed anxiety), and an area where CBT can be extremely helpful.
•Do not spend too long on a computer or sitting at one time. At some point, you will pass a critical threshold where it becomes quite difficult to sleep (which I acknowledge can often be challenging—this has happened to me quite a few times while working on an upcoming article).
•Having more physical activity during the day often makes it much easier for people to fall asleep at night. I believe this is primarily due to the increased fluid circulation in the body those activities create.
Note: many people consider this to be the single most important thing for preventing insomnia—and sadly modern life prevents many of us from having access to it.
•Use good earplugs at night.
•Avoiding eating later in the night.
Note: conversely, if your blood sugar drops at night (which can cause you to wake up in a state of sympathetic activation), eating a slowly digesting carbohydrate can often be very helpful for keeping you asleep.
•Lastly, while this is not behavioral per say, for many individuals, it can take a lot of time to clear caffeine from their bodies, so foods like coffee should not be eaten later in the day (and with exceptionally sensitive people, other things with small amounts of caffeine like chocolate must not be eaten later in the day either).
Note: sleep specialists often recommend keeping a sleep journal where you log both how much sleep you are getting and what you did throughout the day. When you have this type of a journal it can frequently help you identify what is contributing to your insomnia (e.g., certain foods).
Legal Sleep Aids
Over the years, we’ve looked at a lot of different options for fixing sleep, and as the years have gone by, my perspectives on what to do for insomnia have evolved. For example, I’ve long believed that sleep apnea is something which needs to be checked for (due to how disruptive it is to sleep) but as the years have gone by, I’ve become of the opinion CPAPs are not an ideal way to treat it (as while helpful for addressing this critically important issue, they are simultaneously disruptive to the body).
In the last part of this article I will discuss our preferred approaches for treating sleep issues (e.g., which supplements and pharmaceutical drugs help), some of the aspects of insomnia I believe are the most important to focus upon (but are not acknowledged within the orthodoxy) along with sharing a few additional resources for those wishing to learn more about GHB and sleep quality.












